Sodium metabisulfite harmful for copper

» » Sodium metabisulfite harmful for copper
>

Sodium metabisulfite harmful for copper

Sodium Metabisulfite Harmful For Copper. It is also an effective antimicrobial preservative particularly against fungi at low pH 01 wv of sodium sulfite is used. Sodium sulfite is used as an antioxidant in applications similar to those for sodium metabisulfite. Free Chemistry Study Material. Sodium bisulfite NaHSO3 or NaHO3S or HNaO3S CID 23665763 - structure chemical names physical and chemical properties classification patents literature biological activities safetyhazardstoxicity information supplier lists and more.

Is Sodium Metabisulfite Bad For You Here Is Your Answer Is Sodium Metabisulfite Bad For You Here Is Your Answer From isitbadforyou.com

Molecular formula for 2 methylpentane Molecular mass of potassium ferricyanide Nh4cl is a solid Most mutagens are also carcinogens

Effectively replacing the EJ204 engine the FB20 engine was a member of Subarus third generation FB boxer engine family which also included the FB25 FA20D FA20E and FA20F enginesThe FB20 engine first offered in Australia in 2012 Subaru GPGJ Impreza. Free Chemistry Study Material. For example 1 bariteBaSO 4 is used to control and regulate hydrostatic pressure in the well 2 emulsifierssuch as alkyl-acrylate sulfonate derivativesform and maintain emulsions 3 sodium chloride and calcium chloride create conditions for maintaining an isotonic osmotic balance between the water phase of the emulsion and surrounding formation water 4 organophilic clays. Im feeling good about it. Follow the link to learn more about the importance of chemistry in everyday life. Sulfur dioxide is a colorless gas with a pungent odor.

Sulfur dioxide is a colorless gas with a pungent odor.

I have an entire guide devoted to what products are safe to use while pregnant including information on what ingredients to avoid while pregnant and a huge list of pregnancy safe skincare productsThe list has gotten so large that Ive decided to start listing brands in their own individual posts. Gradually add to an excess of aqueous sodium metabisulfite solution. It is a liquid when under pressure and it dissolves in water very easilySulfur dioxide in the air comes mainly from activities such as the burning of coal and oil at power plants or from copper smelting. Subarus FB20 was a 20-litre horizontally-opposed or boxer four-cylinder petrol engine. Follow the link to learn more about the importance of chemistry in everyday life. FIRST AID MEASURES General advice Consult a physician.

Science Made Alive Chemistry Experiments Source: woelen.homescience.net

It is also an effective antimicrobial preservative particularly against fungi at low pH 01 wv of sodium sulfite is used. Hydrogen Peroxide 7722-84-1 29 - 32 Yes Water 7732-18-5 68 - 71 No Inhalation of mist may burn the mucous membrane of the. It is a liquid when under pressure and it dissolves in water very easilySulfur dioxide in the air comes mainly from activities such as the burning of coal and oil at power plants or from copper smelting. Subarus FB20 was a 20-litre horizontally-opposed or boxer four-cylinder petrol engine. Sodium sulfite is used as an antioxidant in applications similar to those for sodium metabisulfite.

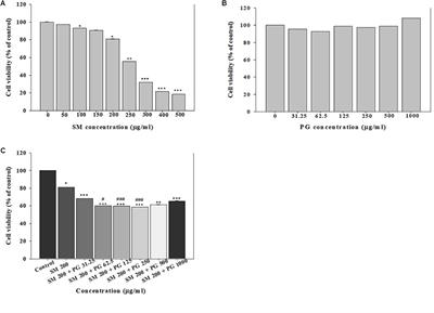
Frontiers Potentiation Of Sodium Metabisulfite Toxicity By Propylene Glycol In Both In Vitro And In Vivo Systems Pharmacology Source: frontiersin.org

People appear to get amazing results from it but I wonder how safe this procedure is. Free Chemistry Study Material. Hydrogen Peroxide 7722-84-1 29 - 32 Yes Water 7732-18-5 68 - 71 No Inhalation of mist may burn the mucous membrane of the. Pregnancy safe skincare can be super difficult and confusing. People appear to get amazing results from it but I wonder how safe this procedure is.

Science Made Alive Chemistry Experiments Source: woelen.homescience.net

Gradually add to an excess of aqueous sodium metabisulfite solution. These lotions and creams consist of a combination of inorganic and organic compounds that either filter or block the incoming ultraviolet radiation. For example 1 bariteBaSO 4 is used to control and regulate hydrostatic pressure in the well 2 emulsifierssuch as alkyl-acrylate sulfonate derivativesform and maintain emulsions 3 sodium chloride and calcium chloride create conditions for maintaining an isotonic osmotic balance between the water phase of the emulsion and surrounding formation water 4 organophilic clays. FIRST AID MEASURES General advice Consult a physician. Cancer in the lung still happens.

Science Made Alive Chemistry Experiments Source: woelen.homescience.net

Cancer in the lung still happens. Im feeling good about it. Free Chemistry Study Material. I have an entire guide devoted to what products are safe to use while pregnant including information on what ingredients to avoid while pregnant and a huge list of pregnancy safe skincare productsThe list has gotten so large that Ive decided to start listing brands in their own individual posts. FIRST AID MEASURES General advice Consult a physician.

Sodium Metabisulfite Na2s2o5 Pubchem Source: pubchem.ncbi.nlm.nih.gov

Im feeling good about it. Even the sunscreen used by humans to protect themselves from the harmful UV-A and UV-B radiation of the sun is based on chemistry. Public health information CDC Research information NIH SARS-CoV-2 data NCBI Prevention and treatment information HHS. Subarus FB20 was a 20-litre horizontally-opposed or boxer four-cylinder petrol engine. Free Chemistry Study Material.

Is Sodium Metabisulfite Bad For You Here Is Your Answer Source: isitbadforyou.com

Even the sunscreen used by humans to protect themselves from the harmful UV-A and UV-B radiation of the sun is based on chemistry. Sulfur dioxide is a colorless gas with a pungent odor. Sodium bisulfite NaHSO3 or NaHO3S or HNaO3S CID 23665763 - structure chemical names physical and chemical properties classification patents literature biological activities safetyhazardstoxicity information supplier lists and more. People appear to get amazing results from it but I wonder how safe this procedure is. I have an entire guide devoted to what products are safe to use while pregnant including information on what ingredients to avoid while pregnant and a huge list of pregnancy safe skincare productsThe list has gotten so large that Ive decided to start listing brands in their own individual posts.

What Is Sodium Metabisulfite And How To Buy Sodium Metabisulfite Source: camachem.com

Im feeling good about it. Effectively replacing the EJ204 engine the FB20 engine was a member of Subarus third generation FB boxer engine family which also included the FB25 FA20D FA20E and FA20F enginesThe FB20 engine first offered in Australia in 2012 Subaru GPGJ Impreza. Cancer in the lung still happens. Sodium bisulfite NaHSO3 or NaHO3S or HNaO3S CID 23665763 - structure chemical names physical and chemical properties classification patents literature biological activities safetyhazardstoxicity information supplier lists and more. Hydrogen Peroxide 7722-84-1 29 - 32 Yes Water 7732-18-5 68 - 71 No Inhalation of mist may burn the mucous membrane of the.

Science Made Alive Chemistry Experiments Source: woelen.homescience.net

Subarus FB20 was a 20-litre horizontally-opposed or boxer four-cylinder petrol engine. Sulfur dioxide is a colorless gas with a pungent odor. FIRST AID MEASURES General advice Consult a physician. For example 1 bariteBaSO 4 is used to control and regulate hydrostatic pressure in the well 2 emulsifierssuch as alkyl-acrylate sulfonate derivativesform and maintain emulsions 3 sodium chloride and calcium chloride create conditions for maintaining an isotonic osmotic balance between the water phase of the emulsion and surrounding formation water 4 organophilic clays. These lotions and creams consist of a combination of inorganic and organic compounds that either filter or block the incoming ultraviolet radiation.

Science Made Alive Chemistry Experiments Source: woelen.homescience.net

Gradually add to an excess of aqueous sodium metabisulfite solution. Pregnancy safe skincare can be super difficult and confusing. Sodium bisulfite NaHSO3 or NaHO3S or HNaO3S CID 23665763 - structure chemical names physical and chemical properties classification patents literature biological activities safetyhazardstoxicity information supplier lists and more. I have an entire guide devoted to what products are safe to use while pregnant including information on what ingredients to avoid while pregnant and a huge list of pregnancy safe skincare productsThe list has gotten so large that Ive decided to start listing brands in their own individual posts. Even the sunscreen used by humans to protect themselves from the harmful UV-A and UV-B radiation of the sun is based on chemistry.

Science Made Alive Chemistry Experiments Source: woelen.homescience.net

Sulfur dioxide is a colorless gas with a pungent odor. Sodium bisulfite NaHSO3 or NaHO3S or HNaO3S CID 23665763 - structure chemical names physical and chemical properties classification patents literature biological activities safetyhazardstoxicity information supplier lists and more. Public health information CDC Research information NIH SARS-CoV-2 data NCBI Prevention and treatment information HHS. Even the sunscreen used by humans to protect themselves from the harmful UV-A and UV-B radiation of the sun is based on chemistry. It is a liquid when under pressure and it dissolves in water very easilySulfur dioxide in the air comes mainly from activities such as the burning of coal and oil at power plants or from copper smelting.

If you find this site convienient, please support us by sharing this posts to your preference social media accounts like Facebook, Instagram and so on or you can also bookmark this blog page with the title sodium metabisulfite harmful for copper by using Ctrl + D for devices a laptop with a Windows operating system or Command + D for laptops with an Apple operating system. If you use a smartphone, you can also use the drawer menu of the browser you are using. Whether it’s a Windows, Mac, iOS or Android operating system, you will still be able to bookmark this website.