Propanol and benzoic acid get what ester

» » Propanol and benzoic acid get what ester
>

Propanol and benzoic acid get what ester

Propanol And Benzoic Acid Get What Ester. TrialkylC 5-C 15acetic acid 23-epoxypropyl ester. We should collect PCBs at any concentration. Use it for pesticide analysis by GC-MS. Dodecyl benzenesulfonic acid CA.

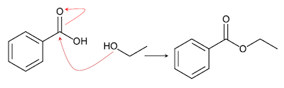
Draw The Ester That Is Formed From The Reaction Of Benzoic Acid And Ethanol Brainly Com Draw The Ester That Is Formed From The Reaction Of Benzoic Acid And Ethanol Brainly Com From brainly.com

N ethyl saccharin Nitroglycerin trade name Nickel chloride air Lead nitrate health and reactivity hazard

Please use this book to increase your knowledge for the laboratory pratictioner. It derives from a benzoic acid. Melamine-formaldehyde chemically modified with methyl ethyl propyl isopropyl butyl or isobutyl alcohol. DBP Market Monthly Report 202110 Oct 29. These activities are performed by 2 separate enzymes phosphopantetheine adenylyltransferase PPAT. 25380 trialkyl acetic acid C 7-C 17 vinyl esters.

Shandong Yuanli Technologys DBP Device Dynamics 01 Nov 2021 Nov 1.

Gt300 With Viton Seals. Biosynthesis of coenzyme A CoA from pantothenic acid vitamin B5 is an essential universal pathway in prokaryotes and eukaryotes. Draw electron-dot structure of the product and also state the nature of the bond formed between both the elements. Ethylenebisdithiocarbamic acid salts esters U115. Carbamodithioic acid 12-ethanediylbis- salts esters U114. 9Benzene sulfonic acid 10.

Draw The Ester That Is Formed From The Reaction Of Benzoic Acid And Ethanol Brainly Com Source: brainly.com

They are produced by the esterification of para-hydroxybenzoic acid with the appropriate alcohol such as methanol ethanol or n-propanol. Please use this book to increase your knowledge for the laboratory pratictioner. CH20H HO OCH3 OH OH of the following compounds is a CH20H HO OH OH HO a b HO Draw the cyclic. Goat throat pumps serve us everyday of the week here at ecovative with our sodium hypochlorite. So how can we work out which one has a higher boiling point.

Benzoic Acid 1 Propanol Ester Water Youtube Source: youtube.com

Gt300 With Viton Seals. Goat throat pumps serve us everyday of the week here at ecovative with our sodium hypochlorite. Biosynthesis of coenzyme A CoA from pantothenic acid vitamin B5 is an essential universal pathway in prokaryotes and eukaryotes. EC 2773 and dephospho-CoA kinase DPCK. We should collect PCBs at any concentration.

Conversion Of Carboxylic Acids To Esters Using Acid And Alcohols Fischer Esterification Master Organic Chemistry Source: masterorganicchemistry.com

A Give a balanced equation use structures for the reaction that occurs when the mixture of benzoic acid 4-tert-butylphenol and 14-dimethoxybenzene is reacted with aqueous NaHCO3. It derives from a benzoic acid. Real stuff would re-crystalize in cold methanol whereas its solubility in water is 7. Type of clay that is used as an absorbent in cosmetics. In a method now being written up for NIOSH I evaluated the effects of.

Solved The Structures Below Represent Propanol Propyl Chegg Com Source: chegg.com

Ethylene oxide IT U115. Real stuff would re-crystalize in cold methanol whereas its solubility in water is 7. Biosynthesis of coenzyme A CoA from pantothenic acid vitamin B5 is an essential universal pathway in prokaryotes and eukaryotes. COASY is a bifunctional enzyme that catalyzes the 2 last steps in CoA synthesis. Now take a alcohol that is a shorter chain such as propanol.

Solved Give The Name And Structure Of The Product Of The Reaction Of Benzoic Acid And 2 Propanol Source: numerade.com

We recently ordered a replacement gt300 with viton seals as the sturdiness of the pump hardware loosened from heavily daily use over the last year but it is still fully functional. A Give a balanced equation use structures for the reaction that occurs when the mixture of benzoic acid 4-tert-butylphenol and 14-dimethoxybenzene is reacted with aqueous NaHCO3. 9Boric acid Boracic acid 9Boron fluids HEF. Behenyl behenate is the wax-like ester of the fatty acid behenic acid and fatty alcohol behenyl alcohol. Real stuff would re-crystalize in cold methanol whereas its solubility in water is 7.

Draw The Ester That Is Formed From The Reaction Of Benzoic Acid And Ethanol Study Com Source: study.com

The CV A CV I and CV G of sodium sweat samples were 6. Ethylene oxide IT U115. CH20H HO OCH3 OH OH of the following compounds is a CH20H HO OH OH HO a b HO Draw the cyclic. Uses Of Ethers Health Care Industry. Type of clay that is used as an absorbent in cosmetics.

Propyl Benzoate Wikipedia Source: en.wikipedia.org

Goat throat pumps are my go to and i trust. Benzoic acid 4-chloro-p-Chlorbenzoic acid. You will need toWe show how to purify. It could be gathered or isolated by filtration. This week the price of sulfuric acid in Shandong increased by 065 89.

Draw The Organic Product Of The Following Reaction Modify The Molecules To Form The Product You May Need To Add Or Remove Atoms And Or Bonds Study Com Source: study.com

Molecular weight is 43 Da. The numbers under the column headed CASRN are the Chemical Abstracts Service Registry Numbers for each hazardous substanceThe Statutory Code column indicates the statutory source for designating each substance as a CERCLA hazardous substance. In a method now being written up for NIOSH I evaluated the effects of. Electrophilic Substitution Reactions Of Phenols. Acetic acid ethyl ester I U112.

Propyl Benzoate C10h12o2 Chemspider Source: chemspider.com

Chemistry Project and Experiment Ideas ThoughtCo. In a method now being written up for NIOSH I evaluated the effects of. Waste Oil Any amount excluding animalvegetable origin PCBs 50 mgl note. Alcohol should have a higher boiling point because it has a hygrogen bond. Triclinic crystals or light fluffy.

Butanoic Acid Propanol Ester Water Youtube Source: youtube.com

Para -Hydroxybenzoic acid is in turn produced industrially from a modification of the Kolbe-Schmitt reaction using potassium phenoxide and carbon dioxide. The ester reacts with the water present to produce ethanoic acid and ethanol. The numbers under the column headed CASRN are the Chemical Abstracts Service Registry Numbers for each hazardous substanceThe Statutory Code column indicates the statutory source for designating each substance as a CERCLA hazardous substance. Waste Oil Any amount excluding animalvegetable origin PCBs 50 mgl note. The -NH 3 group is a weak acid and donates a hydrogen ion to a water molecule.

If you find this site serviceableness, please support us by sharing this posts to your preference social media accounts like Facebook, Instagram and so on or you can also bookmark this blog page with the title propanol and benzoic acid get what ester by using Ctrl + D for devices a laptop with a Windows operating system or Command + D for laptops with an Apple operating system. If you use a smartphone, you can also use the drawer menu of the browser you are using. Whether it’s a Windows, Mac, iOS or Android operating system, you will still be able to bookmark this website.